The Graph Abstract Data Type
Breadth-First Search
Depth-First Search
Shortest Path Problems
Minimum Spanning Tree
Graphs can be used to represent many interesting things about our world, including systems of roads, airline flights, how the internet is connected, or even the sequence of classes you must take.
We will see in this chapter that once we have a good representation for a problem, we can use some standard graph algorithms to solve what otherwise might seem to be a very difficult problem!
A graph is just like a road map. If you have ever used one of the internet map sites, you know that a computer can find the shortest, quickest, or easiest path from one place to another.
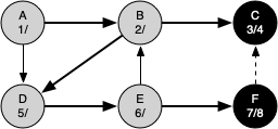
A graph can be represented by $G =(V,E)$. For the graph $G$, $V$ is a set of vertices and $E$ is a set of edges. Each edge is a tuple $(v,w)$ where $v, w \in V$. We can add a third component to the edge tuple to represent a weight. A subgraph $s$ is a set of edges $e$ and vertices $v$ such that $e \subset E$ and $v \subset V$.

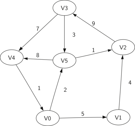
The above is a simple weighted digraph. Formally we can represent this graph as the set of six vertices:
$$V = \left\{ v_0, v_1, v_2, v_3, v_4, v_5 \right\}$$
and the set of nine edges:
$$\begin{split}E = \left\{ \begin{array}{l}(v_0, v_1, 5), (v_1, v_2, 4), (v_2, v_3, 9), \\ (v_3, v_4, 7), (v_4, v_0, 1), (v_0, v_5, 2), \\ (v_5, v_4, 8), (v_3, v_5, 3), (v_5, v_2, 1) \end{array} \right\}\end{split}$$
The example graph helps illustrate two other key graph terms:
A tree is defined as a type of graph that is connected (There is a path between every pair of vertices in the tree) and acyclic. We will explore different tree in detail in next chapter!
Note that vertices may be either connected to each other or isolated. Edges join two vertices and may be weighted.
Graph(): creates a new empty graph.
set_vertex(vert): adds an instance of Vertex to the graph.
add_edge(from_vert, to_vert): adds a new directed edge to the graph that connects two vertices.
add_edge(from_vert, to_vert, weight): adds a new weighted directed edge to the graph that connects two vertices.
get_vertex(vert_key): finds the vertex in the graph named vert_key.
get_vertices(): returns the list of all vertices in the graph.
in: returns True for a statement vertex in graph if the given vertex is in the graph, False otherwise.
Now that we have looked at the definition for the graph ADT, there are several ways we can implement it. There are two well-known implementations of a graph, the adjacency matrix and the adjacency list.
One of the easiest ways to implement a graph is to use a two-dimensional matrix. Each of the rows and columns represents a vertex in the graph. The value that is stored in the cell at the intersection of row $v$ and column $w$ indicates if there is an edge.

When two vertices are connected by an edge, we say that they are adjacent and the value in each cell represents the weight. The advantage of the adjacency matrix is that it is simple, and for small graphs it is easy to see which nodes are connected to other nodes. However, we can say that this matrix is sparse. A matrix is not a very efficient way to store sparse data.
The adjacency matrix is thus a good implementation for a graph when the number of edges is large. Since there is one row and one column for every vertex in the graph, the number of edges required to fill the matrix is $|V|^2$.
However, there are few real problems that approach this sort of connectivity. The problems we will look at in this chapter all involve graphs that are sparsely connected!
A more space-efficient way to implement a sparsely connected graph is to use an adjacency list. In this implementation, we keep a master list of all the vertices in the Graph object, and each vertex object in the graph maintains a list of the other vertices that it is connected to.
In our implementation of the Vertex class we will use a dictionary rather than a list, where the dictionary keys are the vertices and the values are the weights.
The advantage of the adjacency list implementation is that it allows us to compactly represent a sparse graph. The adjacency list also allows us to easily find all the links that are directly connected to a particular vertex!

class Vertex:
def __init__(self, key):
self.key = key
self.neighbors = {}
def get_neighbor(self, other):
return self.neighbors.get(other, None)
def set_neighbor(self, other, weight=0):
self.neighbors[other] = weight
def get_neighbors(self):
return self.neighbors.keys()
def get_key(self):
return self.key
def __repr__(self):
return f"Vertex({self.key})"
def __str__(self):
return (str(self.key) + " connected to: " + str([x.key for x in
self.neighbors]))
Each Vertex uses a dictionary to keep track of the vertices to which it is connected and the weight of each edge. Note that the constructor simply initializes the key, which will typically be a string and the get_neighbor() method returns the weight of the edge from this vertex to the vertex passed as a parameter.
class Graph:
def __init__(self):
self.vertices = {}
def set_vertex(self, key):
self.vertices[key] = Vertex(key)
def add_edge(self, from_vert, to_vert, weight=0):
if from_vert not in self.vertices:
self.set_vertex(from_vert)
if to_vert not in self.vertices:
self.set_vertex(to_vert)
self.vertices[from_vert].set_neighbor(self.vertices[to_vert], weight)
def get_vertex(self, key):
return self.vertices.get(key, None)
def get_vertices(self):
return self.vertices.keys()
def __contains__(self, key):
return key in self.vertices
def __iter__(self):
return iter(self.vertices.values())
The Graph class, also contains a dictionary that maps vertex names to vertex objects. Note that we have implemented the __iter__ method to make it easy to iterate over all the vertex objects in a particular graph.
Now let us define the graph that we have seen earlier. First we create six vertices numbered 0 through 5. Then we display the vertex dictionary. Notice that for each key 0 through 5 we have created an instance of a Vertex:
g = Graph()
for i in range(6):
g.set_vertex(i)
g.vertices
{0: Vertex(0),
1: Vertex(1),
2: Vertex(2),
3: Vertex(3),
4: Vertex(4),
5: Vertex(5)}
Next, we add the edges that connect the vertices together. Finally, a nested loop verifies that each edge in the graph is properly stored:
g.add_edge(0, 1, 5)
g.add_edge(0, 5, 2)
g.add_edge(1, 2, 4)
g.add_edge(2, 3, 9)
g.add_edge(3, 4, 7)
g.add_edge(3, 5, 3)
g.add_edge(4, 0, 1)
g.add_edge(5, 4, 8)
g.add_edge(5, 2, 1)
for v in g:
for w in v.get_neighbors():
print(f"({v.get_key()}, {w.get_key()}, {v.get_neighbor(w)})")
(0, 1, 5) (0, 5, 2) (1, 2, 4) (2, 3, 9) (3, 4, 7) (3, 5, 3) (4, 0, 1) (5, 4, 8) (5, 2, 1)
To begin our study of graph algorithms let's consider the following puzzle called a word ladder: transform the word FOOL into the word SAGE. In a word ladder puzzle you must make the change occur gradually by changing one letter at a time.
At each step you must transform one word into another word; you are not allowed to transform a word into a non-word. The following sequence of words shows one possible solution to the problem posed above:
FOOL
POOL
POLL
POLE
PALE
SALE
SAGE
There are many variations of the word ladder puzzle. For example you might be given a particular number of steps in which to accomplish the transformation, or you might need to use a particular word. In this section we are interested in figuring out the smallest number of transformations needed to turn the starting word into the ending word.
Here is an outline of where we are going:
Our first problem is to figure out how to turn a large collection of words into a graph. What we would like is to have an edge from one word to another if the two words are only different by a single letter.
If we can create such a graph, then any path from one word to another is a solution to the word ladder puzzle!

Let's start with the assumption that we have a list of words that are all the same length. As a starting point, we can create a vertex in the graph for every word in the list.
To figure out how to connect the words, we could compare each word in the list with every other. When we compare we are looking to see how many letters are different. If the two words in question are different by only one letter, we can create an edge between them in the graph.
For a small set of words that approach would work fine. However, let's suppose we have a list of 5,110 words. Roughly speaking, comparing one word to every other word on the list is an $O(n^2)$ algorithm. For 5,110 words, is more than 26 million comparisons!
We can do much better by assuming that we have a number of buckets, each labeled with a four-letter word, except that one of the letters on the label has been replaced by an underscore. As we process a list of words, we compare each word with each bucket using the underscore (_) as a wildcard.
Every time we find a matching bucket we put the word in that bucket, so that both POPE and POPS would both go into the POP_ bucket. Once we have all the words in the appropriate buckets, we know that all the words in each bucket must be connected!

import sys
sys.path.append("./pythonds3/")
from pythonds3.graphs import Graph
def build_graph(words):
buckets = {}
the_graph = Graph()
all_words = words
# create buckets of words that differ by 1 letter
for line in all_words:
word = line.strip()
for i, _ in enumerate(word):
bucket = f"{word[:i]}_{word[i + 1 :]}"
buckets.setdefault(bucket, set()).add(word)
# add edges between different words in the same bucket
for similar_words in buckets.values():
for word1 in similar_words:
for word2 in similar_words - {word1}:
the_graph.add_edge(word1, word2)
return the_graph
We can implement the scheme we have just described by using a dictionary. The labels on the buckets we have just described are the keys in our dictionary. The value stored for each key is a list of words.
Since this is our first real-world graph problem, you might be wondering how sparse the graph is. The list of four-letter words we have for this problem is 5,110 words long. If we were to use an adjacency matrix, the matrix would have
$5,110 \cdot 5,110= 26,112,100$ cells. The graph constructed by the build_graph() function has exactly 53,286 edges, so the matrix would have only 0.20% of the cells filled! That is a very sparse matrix indeed.
With the graph constructed we can now turn our attention to the algorithm we will use to find the shortest solution to the word ladder problem. The graph algorithm we are going to use is called the breadth-first search (BFS), and it is one of the easiest algorithms for searching a graph!
Given a starting vertex $s$ of a graph, a breadth first search proceeds by exploring edges in the graph to find all the vertices in $G$ for which there is a path from $s$.
The remarkable thing about a breadth-first search is that it finds all the vertices that are a distance $k$ from $s$ before it finds any vertices that are a distance $k+1$.
To keep track of its progress, BFS colors each of the vertices white, gray, or black. All the vertices are initialized to white when they are constructed. A white vertex is an undiscovered vertex. When a vertex is initially discovered it is colored gray, and when BFS has completely explored a vertex it is colored black.
This means that once a vertex is colored black, it has no white vertices adjacent to it. A gray node, on the other hand, may have some white vertices adjacent to it, indicating that there are still additional vertices to explore.
The bfs() shown below uses the adjacency list graph representation we developed earlier. In addition it uses a Queue, a crucial point as we will see, to decide which vertex to explore next.
from pythonds3.basic import Queue
from pythonds3.graphs import Graph # This is the extended version
def bfs(start):
start.distance = 0
start.previous = None
vert_queue = Queue()
vert_queue.enqueue(start)
while vert_queue.size() > 0:
current = vert_queue.dequeue()
for neighbor in current.get_neighbors():
if neighbor.color == "white":
neighbor.color = "gray"
neighbor.distance = current.distance + 1
neighbor.previous = current
vert_queue.enqueue(neighbor)
current.color = "black"
The BFS algorithm uses an extended version of the Vertex class that adds three new instance variables: distance, previous, and color. Each of these instance variables also has the appropriate getter and setter methods.
BFS begins at the starting vertex start and paints it gray. Two other values, the distance and the previous, are initialized to 0 and None respectively. Finally, start is placed on a Queue. The next step is to begin to systematically explore vertices at the front of the queue. We explore each new node at the front of the queue by iterating over its adjacency list.
As each node on the adjacency list is examined, its color is checked. If it is white four things happen:
The new unexplored vertex neighbor is colored gray.
The predecessor of neighbor is set to the current node current.
The distance to neighbor is set to the distance to current + 1.
neighbor is added to the end of a queue. This effectively schedules this node for further exploration, but not until all the other vertices on the adjacency list of current have been explored!

Starting from FOOL we take all nodes that are adjacent to FOOL and add them to the queue. The adjacent nodes include POOL, FOIL, FOUL, and COOL. Each of these nodes are new nodes to expand.

In the next step bfs removes the next node (POOL) from the front of the queue and repeats the process for all of its adjacent nodes.
The next vertex on the queue is FOIL. The only new node that FOIL can add to the tree is FAIL. As bfs continues to process the queue, neither of the next two nodes adds anything new to the queue or the tree. Below shows the tree and the queue after expanding all the vertices on the second level of the tree:


The amazing thing about the breadth-first search solution is that we have not only solved the FOOL–SAGE problem we started out with, but we have solved many other problems along the way.
We can start at any vertex in the breadth-first search tree and follow the predecessor arrows back to the root to find the shortest word ladder from any word back to FOOL.
def traverse(starting_vertex):
current = starting_vertex
while current:
print(current.key, end="")
if current.previous:
print("->", end="")
current = current.previous
g = build_graph(["fool","cool","pool","poll","pole","pall","fall",
"fail","foil","foul","pope","pale","sale","sage","page"])
bfs(g.get_vertex("fool"))
traverse(g.get_vertex("sage"))
sage->sale->pale->pall->poll->pool->fool
header = f"{'Key':^8}|{'Color':^8}|{'Distance':^8}|{'Discover':^4}|{'Closing':^4}|{'Previous':^8}"
print(header)
for key in g.get_vertices():
vertex = g.get_vertex(key)
print(vertex)
Key | Color |Distance|Discover|Closing|Previous fool | black | 0 | 0 | 0 |None pool | black | 1 | 0 | 0 |fool cool | black | 1 | 0 | 0 |fool foil | black | 1 | 0 | 0 |fool foul | black | 1 | 0 | 0 |fool poll | black | 2 | 0 | 0 |pool pall | black | 3 | 0 | 0 |poll pole | black | 3 | 0 | 0 |poll pale | black | 4 | 0 | 0 |pall pope | black | 4 | 0 | 0 |pole fall | black | 3 | 0 | 0 |fail fail | black | 2 | 0 | 0 |foil sale | black | 5 | 0 | 0 |pale page | black | 5 | 0 | 0 |pale sage | black | 6 | 0 | 0 |sale
from IPython.display import HTML, IFrame, display
iframe = f'<iframe src="https://opendsa-server.cs.vt.edu/embed/BfsAV" height="650" width="100%"></iframe> '
display(HTML(iframe))
Let's analyze the run time performance of the breadth-first search algorithm. The first thing to observe is that the while loop is executed, at most, one time for each vertex in the graph (up to $|V|$ iterations). You can see that this is true because a vertex must be white before it can be examined and added to the queue.
This gives us $O(|V|)$ for the while loop. The for loop, which is nested inside the while, is executed at most once for each edge in the graph (up to $|E|$ iterations). The reason is that every vertex is dequeued at most once and we examine an edge from node $u$ to node $v$ only when node $u$ is dequeued.
This gives us $O(|E|)$ for the for loop. Combining the two loops gives us $O(|V| + |E|)$.
Of course doing the breadth-first search is only part of the task. Following the links from the starting node to the goal node is the other part of the task.
The worst case for this would be if the graph was a single long chain. In this case traversing through all of the vertices would be $O(|V|)$. The normal case is going to be some fraction of $|V|$.
Finally, at least for this problem, there is the time required to build the initial graph.
Another classic problem that we can use to illustrate a second common graph algorithm is called the knight's tour. The knight's tour puzzle is played on a chess board with a single chess piece, the knight.
The object of the puzzle is to find a sequence of moves that allow the knight to visit every square on the board exactly once. One such sequence is called a tour.
The upper bound on the number of possible legal tours for an $8 \times 8$ chessboard is known to be $1.2 \times 10^{46}$; however, there are even more possible dead ends.
Although researchers have studied many different algorithms to solve the knight's tour problem, a graph search is one of the easiest to understand and program. Once again we will solve the problem using two main steps:
To represent the knight's tour problem as a graph we will use the following two ideas: each square on the chessboard can be represented as a node in the graph and each legal move by the knight can be represented as an edge in the graph.

from pythonds3.graphs import Graph
def knight_graph(board_size):
kt_graph = Graph()
for row in range(board_size):
for col in range(board_size):
node_id = row * board_size + col
new_positions = gen_legal_moves(row, col, board_size)
for row2, col2 in new_positions:
other_node_id = row2 * board_size + col2
kt_graph.add_edge(node_id, other_node_id)
return kt_graph
The knight_grap() function makes one pass over the entire board. At each square on the board the function calls a helper, gen_legal_moves(), to create a list of legal moves for that position on the board.
All legal moves are then converted into edges in the graph. Each location on the board is converted into a linear vertex number.
The gen_legal_moves() takes the position of the knight on the board and generates each of the eight possible moves, making sure those moves are still within the board:
def gen_legal_moves(row, col, board_size):
new_moves = []
move_offsets = [
(-1, -2), # left-down-down
(-1, 2), # left-up-up
(-2, -1), # left-left-down
(-2, 1), # left-left-up
(1, -2), # right-down-down
(1, 2), # right-up-up
(2, -1), # right-right-down
(2, 1), # right-right-up
]
for r_off, c_off in move_offsets:
if 0 <= row + r_off < board_size and 0 <= col + c_off < board_size:
new_moves.append((row + r_off, col + c_off))
return new_moves

The figure shows the complete graph of possible moves on an $8 \times 8$ board. There are exactly 336 edges in the graph. Notice that the vertices corresponding to the edges of the board have fewer connections (legal moves) than the vertices in the middle of the board.
Once again we can see how sparse the graph is. If the graph was fully connected there would be 4,096 edges. Since there are only 336 edges, the adjacency matrix would be only 8.2 percent full!
The search algorithm we will use to solve the knight's tour problem is called depth-first search (DFS). Whereas the breadth-first search algorithm builds a search tree one level at a time, a depth-first search creates a search tree by exploring one branch of the tree as deeply as possible.
We will look at two algorithms that implement DFS. The first algorithm we will look at specifically solves the knight's tour problem by explicitly forbidding a node to be visited more than once.
The second implementation is more general, but allows nodes to be visited more than once as the tree is constructed. The second version is used in subsequent sections to develop additional graph algorithms.
The depth-first exploration of the graph is exactly what we need in order to find a path through 64 vertices (one for each square on the chessboard) and 63 edges.
We will see that when the depth-first search algorithm finds a dead end (a place in the graph where there are no more moves possible) it backs up the tree to the next deepest vertex that allows it to make a legal move.
The knight_tour() below takes four parameters: n, the current depth in the search tree; path, a list of vertices visited up to this point; u, the vertex in the graph we wish to explore; and limit, the number of nodes in the path.
def knight_tour(n, path, u, limit):
u.color = "gray"
path.append(u)
if n < limit:
neighbors = sorted(list(u.get_neighbors()))
i = 0
done = False
while i < len(neighbors) and not done:
if neighbors[i].color == "white":
done = knight_tour(n + 1, path, neighbors[i], limit)
i = i + 1
if not done: # prepare to backtrack
path.pop()
u.color = "white" # Not added to path yet return to unvisited
else:
done = True
return done
The function is recursive. When the function is called, it first checks the base case condition. If we have a path that contains 64 vertices, we return from knight_tour() with a status of True, indicating that we have found a successful tour. If the path is not long enough, we continue to explore one level deeper by choosing a new vertex to explore and calling it recursively for that vertex.
DFS also uses colors to keep track of which vertices in the graph have been visited. Unvisited vertices are colored white, and visited vertices are colored gray. If all neighbors of a particular vertex have been explored and we have not yet reached our goal length of 64 vertices, we have reached a dead end and must backtrack.
Backtracking happens when we return from knight_tour() with a status of False. In the breadth-first search we used a queue to keep track of which vertex to visit next. Since depth-first search is recursive, we are implicitly using a stack to help us with our backtracking.
When we return from a call with a status of False, we remain inside the while loop and look at the next vertex in neighbors.
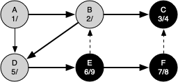
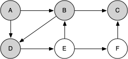
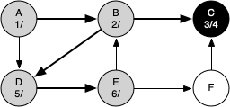
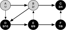
Let's look at a simple example of knight_tour() in action. You can refer to the figures below to follow the steps of the search. For this example we will assume that the call to the get_neighbors() method on line 5 orders the nodes in alphabetical order. We begin by calling knight_tour(1, path, A, 6).
When we return the list, path has the values [A, B, D, E, F, C], which is the order we need to traverse the graph to visit each node exactly once.
board_size = 8
kt_graph = knight_graph(board_size)
path = []
start = kt_graph.get_vertex(0)
finished = knight_tour(1, path, start, board_size * board_size)
if finished:
solution = [(v.get_key() // board_size, v.get_key() % board_size)
for v in path]
print("One possible path:")
print(solution)
else:
print("No path found.")
One possible path: [(0, 0), (1, 2), (0, 4), (1, 6), (2, 4), (0, 3), (1, 1), (2, 3), (0, 2), (1, 0), (2, 2), (0, 1), (1, 3), (0, 5), (1, 7), (2, 5), (0, 6), (1, 4), (2, 6), (0, 7), (1, 5), (2, 7), (3, 5), (4, 3), (3, 1), (5, 0), (4, 2), (2, 1), (3, 3), (4, 1), (2, 0), (3, 2), (4, 0), (6, 1), (5, 3), (3, 4), (4, 6), (6, 7), (7, 5), (5, 4), (7, 3), (6, 5), (7, 7), (5, 6), (3, 7), (4, 5), (5, 7), (3, 6), (4, 4), (6, 3), (7, 1), (5, 2), (6, 0), (7, 2), (6, 4), (7, 6), (5, 5), (4, 7), (6, 6), (7, 4), (6, 2), (7, 0), (5, 1), (3, 0)]
import matplotlib.pyplot as plt
def visualize_knight_path(board_size, path):
# Create a board with alternating colors
board = [[(i+j) % 2 for j in range(board_size)] for i in range(board_size)]
fig, ax = plt.subplots()
ax.imshow(board, cmap='gray', interpolation='nearest')
# Draw the path
for i in range(len(path) - 1):
start = path[i]
end = path[i + 1]
ax.plot([start[1], end[1]], [start[0], end[0]], 'ro-', linewidth=2, markersize=8)
# Mark the start and end points
start = path[0]
end = path[-1]
ax.plot(start[1], start[0], 'go', markersize=12) # start point in green
ax.plot(end[1], end[0], 'bo', markersize=12) # end point in blue
# Set up the plot grid, labels, and title
ax.set_xticks(range(board_size))
ax.set_yticks(range(board_size))
ax.set_xticklabels(range(1, board_size + 1))
ax.set_yticklabels(range(1, board_size + 1))
ax.set_title("Knight's Tour Path Visualization")
# Show the plot
plt.gca().invert_yaxis() # Invert y-axis to match the chessboard representation
plt.show()
visualize_knight_path(board_size, solution) #NP-hard
header = f"{'Key':^8}|{'Color':^8}|{'Distance':^8}|{'Discover':^4}|{'Closing':^4}|{'Previous':^8}"
print(header)
for key in kt_graph.get_vertices():
vertex = kt_graph.get_vertex(key)
print(vertex)
knight_tour() is very sensitive to the method you use to select the next vertex to visit. For example, on a $5 \times 5$ board you can produce a path in about 1.5 seconds on a reasonably fast computer. But what happens if you try an $8 \times 8$ board? In this case, depending on the speed of your computer, you may have to wait up to several minutes to get the results!
The reason for this is that the knight's tour problem as we have implemented it so far is an exponential algorithm of size $O(k^N)$, where $N$ is the number of squares on the chess board, and $k$ is a small constant.
We can use a tree to help us undertand this point. The root of the tree represents the starting point of the search. From there the algorithm generates and checks each of the possible moves the knight can make.
As we have noted before, the number of moves possible depends on the position of the knight on the board. In the corners there are only two legal moves, on the squares adjacent to the corners there are three, and in the middle of the board there are eight.
At the next level of the tree there are once again between two and eight possible next moves from the position we are currently exploring. The number of possible positions to examine corresponds to the number of nodes in the search tree.
For a tree with nodes that may have up to eight children, the number of nodes is large. Because the branching factor of each node is variable, we could estimate the number of nodes using an average branching factor. The important thing to note is that this algorithm is exponential: $k^{N+1}-1$, where $k$ is the average branching factor for the board.
Let's look at how rapidly this grows! For a board that is $5 \times 5$ the tree will be 25 levels deep, or $N = 24$ counting the first level as level 0. The average branching factor is $k=3.8$ so the number of nodes in the search tree is $3.8^{25}-1$ or $3.12 \times 10^{14}$.
For a $6 \times 6$ board, $k = 4.4$, there are $1.5 \times 10^{23}$ nodes, and for a regular $8 \times 8$ chess board, $k = 5.25$, there are $1.2 \times 10^{46}$!
Of course, since there are multiple solutions to the problem we won't have to explore every single node, but the fractional part of the nodes we do have to explore is just a constant multiplier which does not change the exponential nature of the problem.
Luckily there is a way to speed up the $8 \times 8$ case so that it runs in under one second. The order_by_avail() will be used in place of the call to u.get_neighbors(). The critical line in the function is line 5. This line ensures that we select the vertex that has the fewest available moves to go next.
def order_by_avail(n):
res_list = []
for v in n.get_neighbors():
if v.color == "white":
c = 0
for w in v.get_neighbors():
if w.color == "white":
c = c + 1
res_list.append((c, v))
res_list.sort(key=lambda x: x[0])
return [y[1] for y in res_list]
You might think this is really counterproductive; why not select the node that has the most available moves?
The problem with using the vertex with the most available moves as your next vertex on the path is that it tends to have the knight visit the middle squares early on in the tour!
When this happens it is easy for the knight to get stranded on one side of the board where it cannot reach unvisited squares on the other side of the board. On the other hand, visiting the squares with the fewest available moves first pushes the knight to visit the squares around the edges of the board first.
This ensures that the knight will visit the hard-to-reach corners early and can use the middle squares to hop across the board only when necessary. Utilizing this kind of knowledge to speed up an algorithm is called a heuristic. This particular heuristic is called Warnsdorff's algorithm.
def knight_tour(n, path, u, limit):
u.color = "gray"
path.append(u)
if n < limit:
neighbors = order_by_avail(u)
i = 0
done = False
while i < len(neighbors) and not done:
if neighbors[i].color == "white":
done = knight_tour(n + 1, path, neighbors[i], limit)
i = i + 1
if not done: # prepare to backtrack
path.pop()
u.color = "white"
else:
done = True
return done
board_size = 8
kt_graph = knight_graph(board_size)
path = []
start = kt_graph.get_vertex(0)
finished = knight_tour(1, path, start, board_size * board_size)
if finished:
solution = [(v.get_key() // board_size, v.get_key() % board_size)
for v in path]
print("One possible path:")
print(solution)
else:
print("No path found.")
One possible path: [(0, 0), (1, 2), (0, 4), (1, 6), (3, 7), (5, 6), (7, 7), (6, 5), (5, 7), (7, 6), (6, 4), (7, 2), (6, 0), (4, 1), (2, 0), (0, 1), (1, 3), (0, 5), (1, 7), (2, 5), (0, 6), (2, 7), (4, 6), (6, 7), (7, 5), (6, 3), (7, 1), (5, 0), (3, 1), (1, 0), (0, 2), (2, 1), (4, 0), (5, 2), (7, 3), (6, 1), (5, 3), (7, 4), (6, 2), (7, 0), (5, 1), (3, 0), (1, 1), (3, 2), (4, 4), (3, 6), (2, 4), (0, 3), (1, 5), (0, 7), (2, 6), (4, 5), (3, 3), (1, 4), (2, 2), (3, 4), (4, 2), (2, 3), (3, 5), (4, 3), (5, 5), (4, 7), (6, 6), (5, 4)]
visualize_knight_path(board_size, solution)
The knight's tour is a special case of a depth-first search where the goal is to create the deepest depth-first tree without any branches.
The more general depth-first search is actually easier. Its goal is to search as deeply as possible, connecting as many nodes in the graph as possible and branching where necessary.
It is even possible that a depth-first search will create more than one tree. When the depth-first search algorithm creates a group of trees we call this a depth-first forest.
As with the breadth-first search, our depth-first search makes use of predecessor links to construct the tree. In addition, the depth-first search will make use of two additional instance variables in the Vertex class. The new instance variables are the discovery and closing times.
As we will see after looking at the algorithm, the discovery and closing times of the nodes provide some interesting properties we can use in later algorithms.
class DFSGraph(Graph):
def __init__(self):
super().__init__()
self.time = 0
def dfs(self):
for vertex in self:
vertex.color = "white"
vertex.previous = -1
for vertex in self:
if vertex.color == "white":
self.dfs_visit(vertex)
def dfs_visit(self, start):
start.color = "gray"
self._time = self._time + 1
start.discovery_time = self._time
for next_vertex in start.get_neighbors():
if next_vertex.color == "white":
next_vertex.set_previous(start)
self.dfs_visit(next_vertex)
start.color = "black"
self._time = self._time + 1
start.closing_time = self._time
You will notice that the dfs() method iterates over all of the vertices in the graph calling dfs_visit() on the nodes that are white.
The reason we iterate over all the nodes, rather than simply searching from a chosen starting node, is to make sure that all nodes in the graph are considered and that no vertices are left out of the depth-first forest.
It may look unusual to see the statement for vertex in self, but remember that in this case self is an instance of the DFSGraph class, and iterating over all the vertices in an instance of a graph is a natural thing to do.
The dfs_visit() method starts with a single vertex called start_vertex and explores all of the neighboring white vertices as deeply as possible.
If you look carefully at the code for dfs_visit() and compare it to breadth-first search, what you should notice is that the algorithm is almost identical to bfs() except that on the last line of the inner for loop, dfs_visit() calls itself recursively to continue the search at a deeper level, whereas bfs() adds the node to a queue for later exploration!
It is interesting to note that where bfs() uses a queue, dfs_visit() uses a stack. You don't see a stack in the code, but it is implicit in the recursive call.
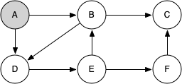
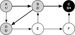
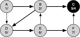
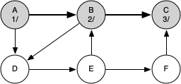
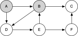
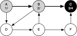
The following sequence of figures illustrates the depth-first search algorithm in action for a small graph. In these figures, the dotted lines indicate edges that are checked, but the node at the other end of the edge has already been added to the depth-first tree.
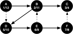
The discovery and closing times for each node display a property called the parenthesis property. This property means that all the children of a particular node in the depth-first tree have a later discovery time and an earlier closing time than their parent.
g = DFSGraph()
g.add_edge('A', 'B')
g.add_edge('B', 'C')
g.add_edge('A', 'D')
g.add_edge('B', 'D')
g.add_edge('D', 'E')
g.add_edge('E', 'B')
g.add_edge('E', 'F')
g.add_edge('F', 'C')
# Run DFS
g.dfs()
header = f"{'Key':^8}|{'Color':^8}|{'Distance':^8}|{'Discover':^4}|\
{'Closing':^8}|{'Previous'}"
print(header)
# Print vertex states post-DFS
for key in g.get_vertices():
vertex = g.get_vertex(key)
print(vertex)
Key | Color |Distance|Discover|Closing |Previous A | black | inf | 1 | 12 |None B | black | inf | 2 | 11 |A C | black | inf | 3 | 4 |B D | black | inf | 5 | 10 |B E | black | inf | 6 | 9 |D F | black | inf | 7 | 8 |E
The general running time for depth-first search is as follows. The loops in dfs() run in $O|V|$, not counting what happens in dfs_visit(), since it is executed once for each vertex in the graph.
In dfs_visit() the loop is executed once for each edge in the adjacency list of the current vertex. Since it is only called recursively if the vertex is white, the loop will execute a maximum of once for every edge in the graph, or $O(E)$. Therefore, the total time for depth-first search is $O(|V| + |E|)$.
from IPython.display import HTML, IFrame, display
iframe = f'<iframe src="https://opendsa-server.cs.vt.edu/embed/topSortDFSCON" height="700" width="100%"></iframe> '
display(HTML(iframe))
When you surf the web, send an email, or log in to a laboratory computer from another location on campus, a lot of work is going on behind the scenes to get the information on your computer transferred to another computer. The in-depth study of how information flows from one computer to another over the internet is the primary topic for a class in computer networking.

Figure above shows you a high-level overview of how communication on the internet works. When you use your browser to request a web page from a server, the request must travel over your local area network and out onto the internet through a router.
Each router on the internet is connected to one or more other routers. If you run the traceroute command at different times of the day, you are likely to see that your information flows through different routers at different times. This is because there is a cost associated with each connection between a pair of routers that depends on the volume of traffic, the time of day, and many other factors.
By this time it will not surprise you to learn that we can represent the network of routers as a graph with weighted edges.
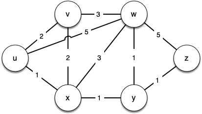
Figure below shows a small example of a weighted graph that represents the interconnection of routers in the internet. The problem that we want to solve is to find the shortest path, one with the smallest total weight along which to route any given message.
This problem should sound familiar because it is similar to the problem we solved using a breadth-first search, except that here we are concerned with the total weight of the path rather than the number of hops in the path. It should be noted that if all the weights are equal, the problem is the same!

Dijkstra's algorithm is an iterative algorithm that provides us with the shortest path from one particular starting node to all other nodes in the graph. Again this is similar to the results of a breadth-first search.
To keep track of the total cost from the start node to each destination, we will make use of the distance instance variable in the Vertex class. The distance instance variable will contain the current total weight of the smallest weight path from the start to the vertex in question.
The algorithm iterates once for every vertex in the graph; however, the order that it iterates over the vertices is controlled by a priority queue. The value that is used to determine the order of the objects in the priority queue is distance.
A priority queue acts like a queue in that you dequeue an item by removing it from the front. However, in a priority queue the logical order of items inside a queue is determined by their priority. The highest priority items are at the front of the queue and the lowest priority items are at the back.
Thus when you enqueue an item on a priority queue, the new item may move all the way to the front.
When a vertex is first created, distance is set to a very large number. Theoretically you would set distance to infinity, but in practice we just set it to a number that is larger than any real distance we would have in the problem we are trying to solve.
from pythonds3.trees.priority_queue import PriorityQueue #heapq
# If checking the visited node, the algorithm can terminate
# when there is negative edge
def dijkstra(graph, start):
pq = PriorityQueue()
start.distance = 0
pq.insert((start.distance, start))
visited = set() # Set to track visited vertices
while not pq.is_empty():
print(pq)
distance, current_v = pq.delete()
# Mark the vertex as visited once it's pulled from the queue
visited.add(current_v)
# Process each adjacent vertex
for next_v in current_v.get_neighbors():
if next_v in visited:
continue # Skip if next vertex is already visited
new_distance = distance + current_v.get_neighbor(next_v)
if new_distance < next_v.distance:
next_v.distance = new_distance
next_v.previous = current_v
if next_v in pq:
pq.change_priority(next_v, new_distance)
else:
pq.insert((new_distance, next_v))
The PriorityQueue class stores tuples of (priority, key) pairs. This is an important point, because Dijkstra's algorithm requires the key in the priority queue to match the key of the vertex in the graph.
The priority is used for deciding the position of the key in the priority queue. In this implementation we use the distance to the vertex as the priority because as we will see when we are exploring the next vertex, we always want to explore the vertex that has the smallest distance.
Note that there is a change_priority() method. This method is used when the distance to a vertex that is already in the queue is reduced, and thus the vertex is moved toward the front of the queue!
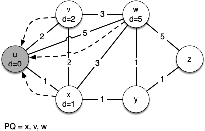
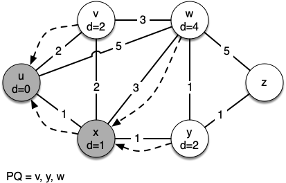
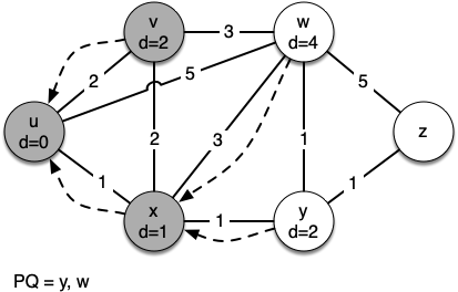
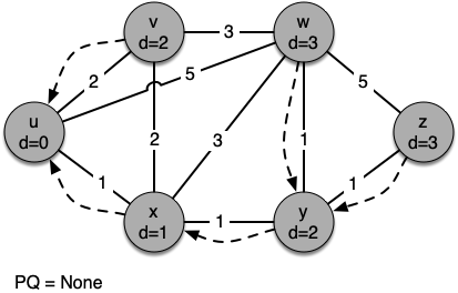
Let's walk through it. We begin with the vertex $u$. The three vertices adjacent to it are $v,w$ and $x$. Since the initial distances to them are all initialized to sys.maxsize, the new costs to get to them through the start node are all their direct costs. So we update the costs to each of these three nodes. We also set the predecessor for each node to $u$
and we add each node to the priority queue. We use the distance as the key for the priority queue.






g = Graph()
g.add_edge('u', 'v', 2)
g.add_edge('v', 'u', 2)
g.add_edge('v', 'w', 3)
g.add_edge('w', 'v', 3)
g.add_edge('w', 'z', 5)
g.add_edge('z', 'w', 5)
g.add_edge('u', 'x', 1)
g.add_edge('x', 'u', 1)
g.add_edge('u', 'w', 5)
g.add_edge('w', 'u', 5)
g.add_edge('x', 'v', 2)
g.add_edge('v', 'x', 2)
g.add_edge('x', 'w', 3)
g.add_edge('w', 'x', 3)
g.add_edge('x', 'y', 1)
g.add_edge('y', 'x', 1)
g.add_edge('y', 'w', 1)
g.add_edge('w', 'y', 1)
g.add_edge('y', 'z', 1)
g.add_edge('z', 'y', 1)
# Run
dijkstra(g, g.get_vertex('u'))
header = f"{'Key':^8}|{'Color':^8}|{'Distance':^8}|{'Discover':^8}|\
{'Closing':^8}|{'Previous'}"
print(header)
# Print vertex states
for key in g.get_vertices():
vertex = g.get_vertex(key)
print(vertex)
[(0, Vertex(u))] [(1, Vertex(x)), (2, Vertex(v)), (5, Vertex(w))] [(2, Vertex(v)), (4, Vertex(w)), (2, Vertex(y))] [(2, Vertex(y)), (4, Vertex(w))] [(3, Vertex(w)), (3, Vertex(z))] [(3, Vertex(z))] Key | Color |Distance|Discover| Closing |Previous u | white | 0 | 0 | 0 |None v | white | 2 | 0 | 0 |u w | white | 3 | 0 | 0 |y z | white | 3 | 0 | 0 |y x | white | 1 | 0 | 0 |u y | white | 2 | 0 | 0 |x
def find_path(graph, start_key, end_key):
start_vertex = graph.get_vertex(start_key)
end_vertex = graph.get_vertex(end_key)
path = []
current_vertex = end_vertex
# Backtrack from the end vertex to the start
# vertex using the 'previous' pointers
while current_vertex is not None and current_vertex != start_vertex:
path.append(current_vertex._key)
current_vertex = current_vertex.previous
# Check if a path exists, i.e., we are back at the start vertex
if current_vertex is None:
return "No path"
else: # Include the start vertex in the path
path.append(start_vertex._key)
path.reverse() # Reverse the path to show it from start to end
return path
# Example of how to use the find_path function
dijkstra(g, g.get_vertex('u')) # Run Dijkstra from 'u'
path = find_path(g, 'u', 'z')
print("Path from 'u' to 'z':", " -> ".join(path))
[(0, Vertex(u))] Path from 'u' to 'z': u -> x -> y -> z
It is important to note that Dijkstra's algorithm works only when the weights are all positive. You should convince yourself that if you introduced a negative weight on one of the edges of the graph, the algorithm would never exit.
We will note that to route messages through the internet, other algorithms are used for finding the shortest path. One of the problems with using Dijkstra's algorithm on the internet is that you must have a complete representation of the graph in order for the algorithm to run. The implication of this is that every router has a complete map of all the routers in the internet!
In practice this is not the case and other variations of the algorithm allow each router to discover the graph as they go.
Let's look at the running time of Dijkstra's algorithm. We first note that building the priority queue takes $O(|V|)$ time since we initially add every vertex in the graph to the priority queue. Once the queue is constructed, the while loop is executed once for every vertex since vertices are all added at the beginning and only removed after that.
Within that loop each call to delete() takes $O(\log{|V|})$ time. Taken together, that part of the loop and the calls to delete() take $O(|V| \times \log{|V|})$. The for loop is executed once for each edge in the graph, and within the for loop the call to change_priority() takes $O(|E| \times \log{|V|})$ time. So the combined running time is $O((|V|+|E|) \times \log{|V|})$.
(A) A->B->D
(B) A->C->D
(C) A->E->G->D
(D) A->C->E->G->D
For our last graph algorithm let's consider a problem that online game designers. The problem is that they want to efficiently transfer a piece of information to anyone and everyone who may be listening. This is important in gaming so that all the players know the very latest position of every other player!

There are some brute force solutions to this problem. To begin, the broadcast host has some information that the listeners all need to receive. The simplest solution is for the broadcasting host to keep a list of all of the listeners and send individual messages to each.
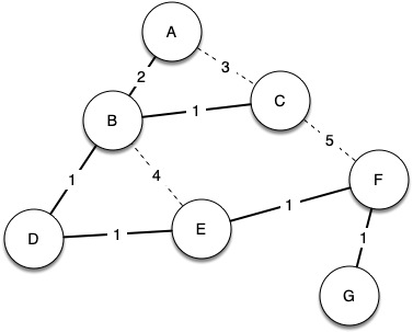
In the above figure we show a small network with a broadcaster and some listeners. Using this first approach, four copies of every message would be sent. Assuming that the least cost path is used, let’s see how many times each router would handle the same message.
All messages from the broadcaster go through router A, so A sees all four copies of every message. Router C sees only one copy of each message for its listener. However, routers B and D would see three copies of every message since routers B and D are on the cheapest path for listeners 1, 2, and 4! When you consider that the broadcast host must send hundreds of messages each second for a radio broadcast, that is a lot of extra traffic.
Another brute force solution is for the broadcast host to send a single copy of the broadcast message and let the routers sort things out. In this case, the easiest solution is a strategy called uncontrolled flooding:
Each message starts with a time to live (TTL) value set to some number greater than or equal to the number of edges between the broadcast host and its most distant listener. Each router gets a copy of the message and passes the message on to all of its neighboring routers. When the message is passed on the TTL is decreased. Because each router continues to send copies of the message to all its neighbors until the TTL value reaches 0, it is easy to convince yourself that uncontrolled flooding generates many more unnecessary messages than our first strategy.
The solution to this problem lies in the construction of a minimum weight spanning tree. Formally we define the minimum spanning tree $T$ for a graph $G = (V,E)$ as follows. $T$ is an acyclic subset of $E$ that connects all the vertices in $V$. The sum of the weights of the edges in $T$ is minimized.
Below shows a simplified version of the broadcast graph and highlights the edges that form a minimum spanning tree for the graph.

In this example A forwards the message to B. B forwards the message to D and C. D forwards the message to E, which forwards it to F, which forwards it to G. No router sees more than one copy of any message, and all the listeners that are interested see a copy of the message.
The algorithm we will use to solve this problem is called Prim's algorithm. Prim's algorithm belongs to a family of algorithms called the greedy algorithms that applies to undirected graph because at each step it will choose the cheapest next step. In this case the cheapest next step is to follow the edge with the lowest weight.
While T is not yet a spanning tree
Find an edge that is safe to add to the tree
Add the new edge to T
The trick is in the step that directs us to "find an edge that is safe." We define a safe edge as any edge that connects a vertex that is in the spanning tree to a vertex that is not in the spanning tree. This ensures that the tree will always remain a tree and therefore have no cycles.
import sys
from pythonds3.trees.priority_queue import PriorityQueue #heapq
def prim(graph, start):
pq = PriorityQueue()
for vertex in graph:
vertex.distance = sys.maxsize
vertex.previous = None
start.distance = 0
pq.heapify([(vertex.distance, vertex) for vertex in graph])
while not pq.is_empty():
print(pq)
distance, current_v = pq.delete()
for next_v in current_v.get_neighbors():
new_distance = current_v.get_neighbor(next_v)
if next_v in pq and new_distance < next_v.distance:
next_v.previous = current_v
next_v.distance = new_distance
pq.change_priority(next_v, new_distance)
from IPython.display import HTML, IFrame, display
iframe = f'<iframe src="https://opendsa-server.cs.vt.edu/embed/primCON" height="600" width="100%"></iframe> '
display(HTML(iframe))
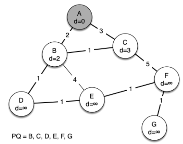
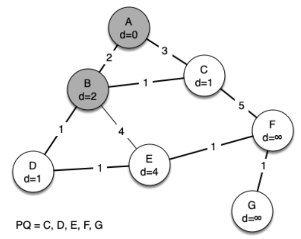
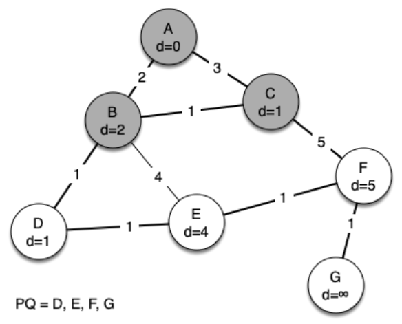
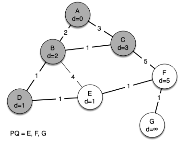
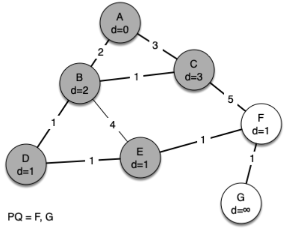
The following sequence of figures shows the algorithm in operation on our sample tree. We begin with the starting vertex as A. The distances to all the other vertices are initialized to infinity.







g = Graph()
g.add_edge('A', 'B', 2)
g.add_edge('B', 'A', 2)
g.add_edge('A', 'C', 3)
g.add_edge('C', 'A', 3)
g.add_edge('B', 'D', 1)
g.add_edge('D', 'B', 1)
g.add_edge('B', 'C', 1)
g.add_edge('C', 'B', 1)
g.add_edge('B', 'E', 4)
g.add_edge('E', 'B', 4)
g.add_edge('D', 'E', 1)
g.add_edge('E', 'D', 1)
g.add_edge('C', 'F', 5)
g.add_edge('F', 'C', 5)
g.add_edge('E', 'F', 1)
g.add_edge('F', 'E', 1)
g.add_edge('F', 'G', 1)
g.add_edge('G', 'F', 1)
# Example of how to use the find_path function
def print_spanning_tree(graph, start_vertex):
"""Prints the edges in the minimum spanning tree."""
print("Edges in the Minimum Spanning Tree:")
for vertex in graph:
if vertex.previous is not None:
print(f"({vertex.previous.key}, {vertex.key}) \
with weight {vertex.get_neighbor(vertex.previous)}")
prim(g, g.get_vertex('A')) # Run prim from 'A'
print_spanning_tree(g, g.get_vertex('A'))
[(0, Vertex(A)), (9223372036854775807, Vertex(B)), (9223372036854775807, Vertex(C)), (9223372036854775807, Vertex(D)), (9223372036854775807, Vertex(E)), (9223372036854775807, Vertex(F)), (9223372036854775807, Vertex(G))] [(2, Vertex(B)), (9223372036854775807, Vertex(D)), (3, Vertex(C)), (9223372036854775807, Vertex(G)), (9223372036854775807, Vertex(E)), (9223372036854775807, Vertex(F))] [(1, Vertex(C)), (1, Vertex(D)), (9223372036854775807, Vertex(F)), (9223372036854775807, Vertex(G)), (4, Vertex(E))] [(1, Vertex(D)), (4, Vertex(E)), (5, Vertex(F)), (9223372036854775807, Vertex(G))] [(1, Vertex(E)), (9223372036854775807, Vertex(G)), (5, Vertex(F))] [(1, Vertex(F)), (9223372036854775807, Vertex(G))] [(1, Vertex(G))] Edges in the Minimum Spanning Tree: (A, B) with weight 2 (B, C) with weight 1 (B, D) with weight 1 (D, E) with weight 1 (E, F) with weight 1 (F, G) with weight 1